Referenz-Phono-Vorverstärker "Consequence No.96 MK6"
In unserer speziellen Röhren-Hybrid-Technik *
* Bei unserer speziellen Röhren-Hybrid-Technik vereinen wir die natürlichen Klangfarben, die Transparenz und
die Geschmeidigkeit der Röhre mit der Präzision, Kraft und Schnelligkeit des Transistors
* Überlegene Musikalität, präzise, detailreiche, sehr durchsichtige, räumliche und dynamische
Musikreproduktion, druckvoller Bass, exaktes Timing mit Live-Charakter
* Die Teil-Spannungsverstärkung mit zwei kanalgetrennten, auf niedrigsten Klirr und minimalste
Mikrofonie selektierten Doppeltrioden (eine Sonderversion der 12AX7), eine passive RIAA-Entzerrung
und eine professionelle Class-A-Ausgangsstufe sorgen für eine hervorragende Kanaltrennung und ein
exzellentes Klirrspektrum
* Verwendung von kontaktoptimierten Keramiksockeln für die Röhren
* Völlig neuentwickeltes Schaltungsdesign ohne Überallesgegenkopplung
mit sehr wenigen Bauteilen im Signalweg
* Stabilisierte Anoden- und Heizspannung, sowie Spannung für Softstart-Steuerung,
zusätzliche Mute-Funktion
*
Sehr aufwendige, rauscharme Spannungsstabilisierung der Halbleitersektion
*
Layout kompromisslos auf kürzeste Signalwege optimiert
*
Alle Widerstände in Metallschicht-Ausführung mit 1 Prozent Toleranz
* Kapazitätsanpassung an MM-Abtastsysteme und Widerstandsanpassung an
MC-Abtastsysteme über hochwertige Kodierschalter
* Extrem hohe RIAA-Genauigkeit von +/- 0,10 dB
* RIAA-Vorverstärker und zwei mitgelieferte, ausgelagerte, für Röhren- und Halbleitersektion
getrennte 50VA-Kraftnetzteile in schweren, stabilen High-End-Feinstruktur-Gehäusen mit
tiefschwarzen, hochglänzenden Acrylfronten und schwingungsdämpfenden, polierten silbernen Füßen
* Vergoldete Cincheingangs- und -ausgangsbuchsen
Innenansicht:
Technische Besonderheiten:

Mit der Geräterückwand verschraubte, massive, vergoldete
Cinchbuchsen sichern dauerhaft mechanische Stabilität

Je ein riesiger Ringkerntrafo für die Röhren- und die
Halbleitersektion (eingebaut in die Kraftnetzteile)

Schwere, massive, schwingungsdämpfende silberne Füße
Anpassungsmöglichkeiten:
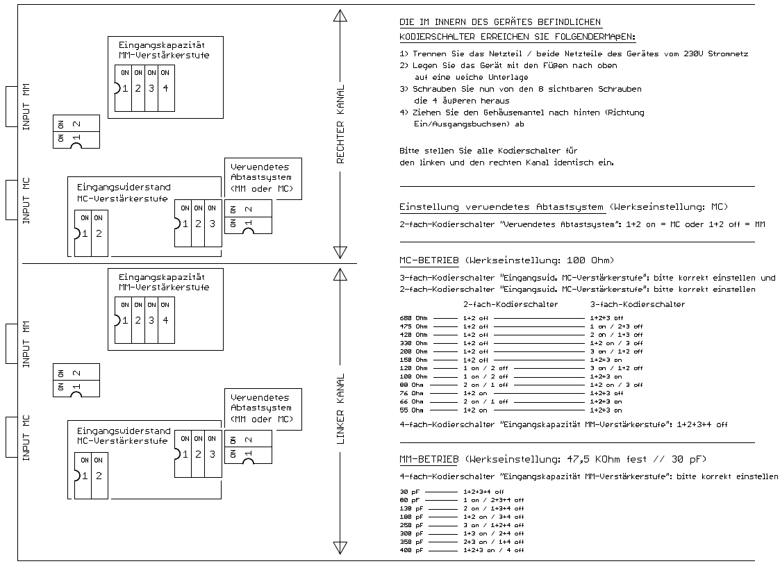
Die Kodierschalter im Geräteinnern dienen
* zur Anpassung der beiden unterschiedlichen Phono-Vorverstärker-Eingänge an die Bauart des verwendeten Abtastsystems
(Moving Coil / Moving Iron oder Moving Magnet) und
* zur Widerstands-,
bzw. Kapazitätsanpassung.
ACHTUNG: Der Phono-Vorverstärker "Consequence No.96" ist mit Röhren bestückt und arbeitet mit hohen Betriebsspannungen.
Stellen Sie daher sicher, daß beide Netzteile ausgeschaltet, vom 230V-Netz getrennt und beide Verbindungskabel zu den 2 Netzteilen
ausgesteckt sind, bevor Sie den Phono-Vorverstärker aufschrauben !
---- Lebensgefahr ----
(Netzstecker aus der Wandsteckdose ziehen)
Die Wahl zwischen 8 Eingangskapazitäten und 12 Eingangswiderständen
bietet Ihnen
bei unseren Phono-Vorverstärkern die Möglichkeit,
das „Zusammenspiel“ zwischen Ihrem Abtastsystem, Ihrem Tonarm-Kabel, Ihren Phono-Kabeln
und dem Phono-Vorverstärkereingang zu optimieren.
Unsere Werkseinstellung: MC-Betrieb mit 100 Ohm Eingangswiderstand.
Sie sind technisch interessiert und möchten mehr zu diesem Thema erfahren ?
Dann klicken Sie bitte
hier.
Technische Daten:
Verstärkung: MM-Betrieb: 94-fach / +39,5 dB bei 1 kHz (Kanaldifferenz bei 1 kHz: kleiner 0,1 dB)
MC-Betrieb: 1130-fach / +60,3 dB bei 1 kHz (Kanaldifferenz bei 1 kHz: kleiner 0,1 dB)
(auf Kundenwunsch ist ab Werk eine andere Verstärkung möglich)
Eingangsimpedanz: MM-Eingang: 47,5 kOhm fest // 30/80/130/180/250/300/350/400 pF (einstellbar über Kodierschalter)
MC-Eingang: 55/66/76/88/100/120/150/200/330/420/475/680 Ohm (einstellbar über Kodierschalter)
Ausgangswiderstand bei 1 kHz: wahlweise 50 oder 475 Ohm
Schneidkennlinien-Entzerrung nach RIAA: Zeitkonstanten: 75 µs / 318 µs / 3180 µs
Subsonicfilter MC: bei 5 Hz (-3 dB, Steilheit: 12 dB/Oct.)
Subsonicfilter MM: bei 3 Hz (-3 dB, Steilheit: 6 dB/Oct.)
Maximale Frequenzgang-Abweichung: +/- 0,10 dB (Angabe von 50 Hz - 20 kHz, bezogen auf 1 kHz)
Max. DC-Ausgangsoffset: +/- 0,5 mV
Überspechdämpfung: MC-Betrieb: 74 dB, MM-Betrieb: 78 dB (bei Eing. 2,2 mVeff / 17 mVeff,
gegenüberlieg. Eingang floating und mit 40 Ohm abgeschl., GND-Buchse geerdet)
Geräuschspannungsabstand: MC-Betrieb: -73,5 dB, MM-Betrieb: -83 dB (A-bewertet, bez. auf 500 mV,
Eingang floating und mit 40 Ohm abgeschlossen, GND-Buchse geerdet)
Gesamtklirr (THD+N): MM-Betrieb: 0,007 %, MC-Betrieb: 0,04 % (Angaben bei 1,6 Veff an 10 kOhm,
bei 1 kHz, Eingang floating, GND-Buchse geerdet, Meßbandbreite 22 Hz - 22 kHz)
Anmerkung: die THD+N -Werte sind stark abhängig von den verwendeten Röhren
Energie-Verbrauch (Wirkleistung): Gerät eingeschaltet (beide Netzteile eingeschaltet): 14,5 Watt bei 230 V Netzspannung
Nur Transistor-Netzteil eingeschaltet: 3,5 Watt bei 230 V Netzspannung
Gerät ausgeschaltet (beide Netzteile ausgeschaltet): 0,0 Watt
Netzzuleitungen: fest montiert, Länge jeweils ca. 210 cm, abgewinkelte Netzstecker
Maße: B 284mm * H 70mm * T 260mm (Phono-Vorverstärker)
B 133mm * H 70mm * T 260mm (Kraftnetzteile)
Gewicht: 8,6 kg (Phono-Vorverstärker mit 2 Kraftnetzteilen)
Hinweis: Technische und optische Änderungen vorbehalten
Neuer Text
Wichtige Hinweise für Referenz-Phono-Vorverstärker "Consequence No.96"
(Dieses Dokument liegt dem Neugerät bei Auslieferung bei)
Sehr geehrter Musikliebhaber,
wir danken Ihnen für das Vertrauen, das Sie der Firma WBE mit dem Kauf des
MC/MM-Röhren-RIAA-Vorverstärkers
"Consequence No.96" entgegengebracht haben. Mit diesem Gerät haben Sie einen hervorragend klingenden Phono-Vorverstärker der neuesten Generation erworben, der sich durch seine erstklassigen Daten und seine vorbildliche Verarbeitung auszeichnet.
Bitte beachten Sie daher unbedingt folgende Punkte:
1) Lassen Sie Ihrem neuen RIAA-Vorverstärker und den zugehörigen externen Netzteilen nach Entnahme aus dem Versandkarton und Untersuchung auf etwaige Transportschäden bitte 2 Stunden Zeit, die umgebende Raum- temperatur anzunehmen. Stellen Sie erst danach die Kabelverbindungen zum öffentlichen Stromnetz (230 Volt ~) her. Durch schnellen Temperaturwechsel kann im Innern der Geräte Kondenswasser entstehen, welches zu Fehlfunktionen oder gar zur sofortigen Beschädigung der Elektronik führt. Dies gilt natürlich ganz besonders für die kalten Wintermonate.
2) Stellen Sie Ihren RIAA-Vorverstärker und die zugehörigen Netzteile auf einen stabilen, ebenen Holz- oder MDF-Untergrund.
Achten Sie darauf, daß keine Gegenstände oder Flüssigkeiten durch die Lüftungsschlitze ins Innere der Geräte gelangen !
3) Ihr neuer RIAA-Vorverstärker lief im Rahmen der Endkontrolle und während des vorhergehenden Dauerlaufs bereits mehrere Stunden. Lassen Sie ihn bitte trotzdem bei der ersten Inbetriebnahme 2 Stunden "warmlaufen" und spielen ihn danach mindestens 200 Stunden mit Musikprogramm ein. Erst nach dieser Warmlaufzeit / Einspielphase entfaltet der Phono-Vorverstärker seine ganze Musikalität.
Die 2 Netzschalter befinden sich auf den Geräterückseiten der externen Netzteile.
Bitte beachten Sie, daß der Ausgang des RIAA-Vorverstärkers immer erst ca. 5 Minuten nach dem Einschalten beider Netzteile freigegeben wird.
4) Die richtigen Polaritäten der externen Netzteile zu den jeweiligen Steckdosen sind an den Netzsteckern mit „Ringlochverstärkern“, wie Sie sie auch im Büro finden, gekennzeichnet. Die Ringlochverstärker zeigen die Netz-Phase an.
5) Bringen Sie bei Bedarf den Wippschalter auf der Rückseite des RIAA-Vorverstärkers in die Stellung "MUTE".
6) Alle Acrylfronten werden vor dem Transport mit einem Kunststoffspray behandelt, das sowohl statische Aufladungen verringert, als auch das Acrylglas durch seinen öligen Charakter wirksam vor Kratzern schützt. Wischen Sie bitte diesen "Schmierfilm" mit dem beiliegenden weichen Mikrofasertuch vorsichtig ab.
ACHTUNG:
Gerät immer ausschalten (Netzschalter beider externen Netzteile), bevor Sie irgendwelche Kabel ein- oder ausstecken !
ACHTUNG:
Der Phono-Vorverstärker "Consequence No.96" ist mit Röhren bestückt und arbeitet mit hohen Betriebsspannungen.
Stellen Sie daher sicher, daß beide Netzteile ausgeschaltet, vom 230V-Netz getrennt und beide Verbindungskabel zu den 2 Netzteilen
ausgesteckt sind, bevor Sie den Phono-Vorverstärker aufschrauben ! ---- Lebensgefahr ----
(Netzstecker aus der Wandsteckdose ziehen)
…..Und nun wünschen wir Ihnen viel Freude beim Musikhören.
Mit musikalischen Grüßen aus Ilshofen-Oberaspach
Ihr WBE-Team






