High-End-Phono-Vorverstärker "Diamond No.36 Studio MK6"
* Straffer, weit hinabreichender Bass, präzise, detaillreiche,
dynamische und räumliche Musikreproduktion, exaktes Timing mit Live-Charakter
* Verwendung von professionellen Class-A-Schaltkreisen
* Schaltungsdesign ohne Überallesgegenkopplung
*
Sehr aufwendige, rauscharme Spannungsstabilisierung
* Layout kompromisslos auf kürzeste Signalwege optimiert
*
Alle Widerstände in Metallschicht-Ausführung mit 1 Prozent Toleranz
*
Kapazitätsanpassung an MM-Abtastsysteme über hochwertige Kodierschalter
* Widerstandsanpassung an MC-Abtastsysteme über hochwertige Kodierschalter
* Anpassung des Verstärkungsfaktors an MC-Abtastsysteme gemäß Kundenwunsch
* Ultra-präzise RIAA-Genauigkeit von +/- 0,15dB
* Phono-Vorverstärker und mitgeliefertes, ausgelagertes 50VA-Kraftnetzteil in schweren, stabilen
High-End-Feinstruktur-Gehäusen mit tiefschwarzen, hochglänzenden Acrylfronten
und schwingungsdämpfenden Füßen
* Vergoldete Cincheingangs- und -ausgangsbuchsen
Technische Besonderheiten:

Mit der Geräterückwand verschraubte, massive, vergoldete
Cinchbuchsen sichern dauerhaft mechanische Stabilität

Riesiger Ringkerntrafo für die Spannungsversorgung
(eingebaut in das Kraftnetzteil)
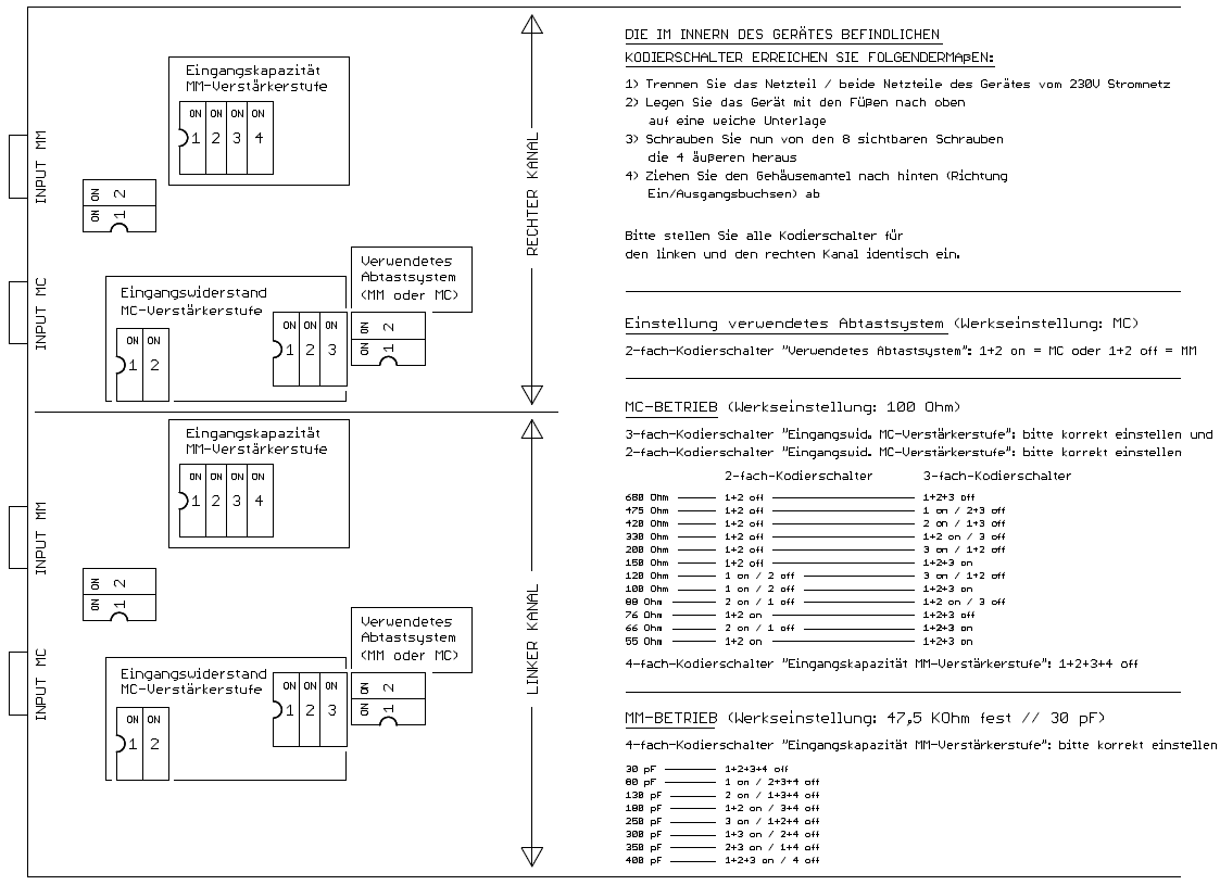
Anpassungsmöglichkeiten:
Die Kodierschalter im Geräteinnern dienen
* zur Anpassung der beiden unterschiedlichen Phono-Vorverstärker-Eingänge an die Bauart des verwendeten Abtastsystems
(Moving Coil / Moving Iron oder Moving Magnet) und
* zur Widerstands-,
bzw. Kapazitätsanpassung.
Die Wahl zwischen 8 Eingangskapazitäten und 12 Eingangswiderständen
bietet Ihnen
bei unseren Phono-Vorverstärkern die Möglichkeit,
das „Zusammenspiel“ zwischen Ihrem Abtastsystem, Ihrem Tonarm-Kabel, Ihren Phono-Kabeln
und dem Phono-Vorverstärkereingang zu optimieren.
Unsere Werkseinstellung: MC-Betrieb mit 100 Ohm Eingangswiderstand.
Sie sind technisch interessiert und möchten mehr zu diesem Thema erfahren ?
Dann klicken Sie bitte
hier.
Technische Daten:
Verstärkung: MM-Betrieb: 117-fach / +41,4 dB bei 1 kHz (Kanaldifferenz bei 1 kHz: kleiner 0,1 dB)
MC-Betrieb: 1300-fach / +62,3 dB bei 1 kHz (Kanaldifferenz bei 1 kHz: kleiner 0,1 dB)
(auf Kundenwunsch ist ab Werk eine andere Verstärkung möglich)
Eingangsimpedanz: MM-Eingang: 47,5 kOhm fest // 30/80/130/180/250/300/350/400 pF (einstellbar über Kodierschalter)
MC-Eingang: 55/66/76/88/100/120/150/200/330/420/475/680 Ohm (einstellbar über Kodierschalter)
Ausgangswiderstand bei 1 kHz: wahlweise 50 oder 475 Ohm
Schneidkennlinien-Entzerrung nach RIAA: Zeitkonstanten: 75 µs / 318 µs / 3180 µs
Subsonicfilter MC: bei 5 Hz (-3 dB, Steilheit: 12 dB/Oct.)
Subsonicfilter MM: bei 3 Hz (-3 dB, Steilheit: 6 dB/Oct.)
Maximale Frequenzgang-Abweichung: +/- 0,15 dB (Angabe bei 50 Hz - 20 kHz, bezogen auf 1 kHz)
Max. DC-Ausgangsoffset: +/- 0,1 mV
Überspechdämpfung: MC-Betrieb: 68 dB, MM-Betrieb: 86 dB (bei Eing. 2,2 mVeff / 17 mVeff,
gegenüberlieg. Eingang floating und mit 40 Ohm abgeschl., GND-Buchse geerdet)
Geräuschspannungsabstand: MC-Betrieb: -73 dB, MM-Betrieb: -86 dB (A-bewertet, bez. auf 500 mV,
Eingang floating und mit 40 Ohm abgeschlossen, GND-Buchse geerdet)
Gesamtklirr (THD+N): MM-Betrieb: 0,005 %, MC-Betrieb: 0,03 % (Angaben bei 1,6 Veff an 10 kOhm,
bei 1 kHz, Eingang floating, GND-Buchse geerdet, Meßbandbreite 22 Hz - 22 kHz)
Energie-Verbrauch (Wirkleistung): Gerät eingeschaltet: 4,2 Watt bei 230 V Netzspannung
Gerät ausgeschaltet: 0,0 Watt
Netzzuleitung: fest montiert, Länge ca. 210 cm, abgewinkelter Netzstecker
Maße: B 133mm * H 70mm * T 260mm (Phono-Vorverstärker)
B 133mm * H 70mm * T 260mm (Kraftnetzteil)
Gewicht: 4,7 kg (Phono-Vorverstärker mit Kraftnetzteil)
Hinweis: Technische und optische Änderungen vorbehalten
Neuer Text
Neuer Text
Wichtige Bedienungs- und Sicherheits-Hinweise für Phono-Vorverstärker
"Diamond No.36 Studio"
Sehr geehrter Musikliebhaber,
wir danken Ihnen für das Vertrauen, das Sie der Firma WBE mit dem Kauf des
MC/MM-RIAA-Vorverstärkers "Diamond No.36 Studio" entgegengebracht haben. Mit diesem Gerät haben Sie einen hervorragend klingenden Phono-Vorverstärker der neuesten Generation erworben, der sich durch seine erstklassigen Daten und seine vorbildliche Verarbeitung auszeichnet. Bitte beachten Sie daher unbedingt folgende Punkte:
1) Lassen Sie Ihrem neuen RIAA-Vorverstärker und dem zugehörigen externen Netzteil nach Entnahme aus dem Versandkarton und Untersuchung auf etwaige Transportschäden bitte 2 Stunden Zeit, die umgebende Raumtemperatur anzunehmen. Stellen Sie erst danach die Verbindung zum öffentlichen Stromnetz (230 Volt ~) her. Durch schnellen Temperaturwechsel kann im Innern der Geräte Kondenswasser entstehen, welches zu Fehlfunktionen oder gar zur sofortigen Beschädigung der Elektronik führt. Dies gilt natürlich ganz besonders für die kalten Wintermonate.
2) Stellen Sie den RIAA-Vorverstärker und das Netzteil auf einen stabilen, ebenen Holz- oder MDF-Untergrund.
3) Achten Sie darauf, daß keine Gegenstände oder Flüssigkeiten durch die Lüftungsschlitze ins Innere der Geräte gelangen !
Betreiben Sie die Geräte nicht im Freien oder in Feuchträumen, wie z.B. Waschküchen, Badezimmer, Saunen oder Schwimmbädern.
Betreiben Sie die Geräte niemals mit geöffnetem Deckel.
Betreiben Sie die Geräte niemals während einer Gewitterlage, um Überspannungsschäden zu vermeiden. Ziehen Sie bitte
bei einer Gewitterlage den Netzstecker des Gerätes aus der Steckdose; das Ausschalten des Netzteiles ist NICHT ausreichend).
Die Geräte dürfen keiner übermäßigen Hitze (z.B. Feuer) ausgesetzt werden. Stellen Sie auch keine Kerzen auf die Geräte.
Schützen Sie die Geräte vor starken Erschütterungen.
Stellen Sie die Geräte nicht an einem beengten Ort auf (z.B. in einem Bücherregal oder Ähnlichem)
Installieren Sie die Geräte nur an Orten mit guter Belüftung.
Trennen Sie die Geräte in einem Notfall (starke Geruchsentwicklung, Hitze oder Feuer) sofort vom 230 Volt-Netz.
4) Ihr neuer RIAA-Vorverstärker lief im Rahmen der Endkontrolle und während des vorhergehenden Dauerlaufs bereits mehrere Stunden. Lassen Sie ihn bitte trotzdem bei der ersten Inbetriebnahme 2 Stunden "warmlaufen" und spielen ihn danach mindestens 50 Stunden mit Musikprogramm ein. Erst nach dieser Warmlaufzeit / Einspielphase entfaltet der Phono-Vorverstärker seine ganze Musikalität.
Der Netzschalter befindet sich auf der Geräterückseite des externen Netzteils.
5) Die richtige Polarität des externen Netzteils zur Steckdose ist am Netzstecker mit einem „Ringlochverstärker“, ein Teil, wie Sie es auch im Büro finden, gekennzeichnet. Der Ringlochverstärker zeigt die Netz-Phase an.
6) Hat die auf der Geräterückseite befindliche Netzeingangs-Schmelzsicherung des externen Netzteiles ausgelöst, so ersetzen Sie diese bitte durch eine Sicherung mit gleichem Wert, gleicher Auslösecharakteristik und gleichem Ausschaltvermögen.
Ziehen Sie jedoch unbedingt vorher den Netzstecker aus der Steckdose.
ACHTUNG:
Geräte immer ausschalten (Netzschalter), bevor Sie irgendwelche Kabel ein- oder ausstecken !
…..Und nun wünschen wir Ihnen viel Freude beim Musikhören.
Mit musikalischen Grüßen aus Ilshofen-Oberaspach
Ihr WBE-Team
Wichtige Produkt-Informationen für unsere Kunden





